vue核心之虚拟DOM(vdom)解析
吾日三省吾身在等待后端老哥接口的时候,看到一则说面试题为什么百度搜索这么快的一个问题?虽然这是面试的后端,但是作为前端,如果问为什么类似vue,react这些会有生命周期?有什么用?那如果这样问我,我感觉空气会突然安静几秒…仔细一想貌似也不是很难理解,在使用这类框架编码时我们会发现除了html有个id为app的div是给vue挂载,其他什么都没有,在webpack打包完成后会生成一个app.js

在了解vue源码或在这个打包js中,在里面搜索 function created function mounted 等关键字眼都是可以搜索到对应的方法,那我们就推出所谓的生命周期就是vue执行函数的一个先后顺序的过程,也就是有了生命周期的这个概念,因为每个阶段负责不同的事情,所以要在对应的函数里写对应的业务逻辑。下面在了解下虚拟dom是什么,我大概提炼下,浏览器在编译我们的html文件呈现给用户看时是一个较为复杂的过程,在我们改界面中改变多个值展示时,如果传统的改了多个值浏览器在接受第一个值时就立马跑去更新了后面的依次。。(是个勤快的浏览器),但是这样是不是有点蠢了? 假如10个节点要跟新我们一次性告诉他不就行了,不要让他来回跑了,你不累我看着都累,然后工程师的工程师就出来了说,嗯我用js可以实现~~下面是看到的讲解,觉得非常精妙与大家分享下
一、真实DOM和其解析流程?
浏览器渲染引擎工作流程都差不多,大致分为5步,
创建DOM树——创建StyleRules——创建Render树——布局Layout——绘制Painting
第一步,用HTML分析器,分析HTML元素,构建一颗DOM树(标记化和树构建)。
第二步,用CSS分析器,分析CSS文件和元素上的inline样式,生成页面的样式表。
第三步,将DOM树和样式表,关联起来,构建一颗Render树(这一过程又称为Attachment)。每个DOM节点都有attach方法,接受样式信息,返回一个render对象(又名renderer)。这些render对象最终会被构建成一颗Render树。
第四步,有了Render树,浏览器开始布局,为每个Render树上的节点确定一个在显示屏上出现的精确坐标。
第五步,Render树和节点显示坐标都有了,就调用每个节点paint方法,把它们绘制出来。
DOM树的构建是文档加载完成开始的?构建DOM数是一个渐进过程,为达到更好用户体验,渲染引擎会尽快将内容显示在屏幕上。它不必等到整个HTML文档解析完毕之后才开始构建render数和布局。
Render树是DOM树和CSSOM树构建完毕才开始构建的吗?这三个过程在实际进行的时候又不是完全独立,而是会有交叉。会造成一边加载,一遍解析,一遍渲染的工作现象。
CSS的解析是从右往左逆向解析的(从DOM树的下-上解析比上-下解析效率高),嵌套标签越多,解析越慢。

二、JS操作真实DOM的代价!
用我们传统的开发模式,原生JS或JQ操作DOM时,浏览器会从构建DOM树开始从头到尾执行一遍流程。在一次操作中,我需要更新10个DOM节点,浏览器收到第一个DOM请求后并不知道还有9次更新操作,因此会马上执行流程,最终执行10次。例如,第一次计算完,紧接着下一个DOM更新请求,这个节点的坐标值就变了,前一次计算为无用功。计算DOM节点坐标值等都是白白浪费的性能。即使计算机硬件一直在迭代更新,操作DOM的代价仍旧是昂贵的,频繁操作还是会出现页面卡顿,影响用户体验。
三、为什么需要虚拟DOM,它有什么好处?
Web界面由DOM树(树的意思是数据结构)来构建,当其中一部分发生变化时,其实就是对应某个DOM节点发生了变化,
虚拟DOM就是为了解决浏览器性能问题而被设计出来的。如前,若一次操作中有10次更新DOM的动作,虚拟DOM不会立即操作DOM,而是将这10次更新的diff内容保存到本地一个JS对象中,最终将这个JS对象一次性attch到DOM树上,再进行后续操作,避免大量无谓的计算量。所以,用JS对象模拟DOM节点的好处是,页面的更新可以先全部反映在JS对象(虚拟DOM)上,操作内存中的JS对象的速度显然要更快,等更新完成后,再将最终的JS对象映射成真实的DOM,交由浏览器去绘制。
四、实现虚拟DOM
例如一个真实的DOM节点。

我们用JS来模拟DOM节点实现虚拟DOM。

其中的Element方法具体怎么实现的呢?

第一个参数是节点名(如div),第二个参数是节点的属性(如class),第三个参数是子节点(如ul的li)。除了这三个参数会被保存在对象上外,还保存了key和count。其相当于形成了虚拟DOM树。

有了JS对象后,最终还需要将其映射成真实DOM

我们已经完成了创建虚拟DOM并将其映射成真实DOM,这样所有的更新都可以先反应到虚拟DOM上,如何反应?需要用到Diff算法。
两棵树如果完全比较时间复杂度是O(n^3),但参照《深入浅出React和Redux》一书中的介绍,React的Diff算法的时间复杂度是O(n)。要实现这么低的时间复杂度,意味着只能平层的比较两棵树的节点,放弃了深度遍历。这样做,似乎牺牲掉了一定的精确性来换取速度,但考虑到现实中前端页面通常也不会跨层移动DOM元素,这样做是最优的。
深度优先遍历,记录差异 。。。。
Diff操作
在实际代码中,会对新旧两棵树进行一个深度的遍历,每个节点都会有一个标记。每遍历到一个节点就把该节点和新的树进行对比,如果有差异就记录到一个对象中。
下面我们创建一棵新树,用于和之前的树进行比较,来看看Diff算法是怎么操作的。
old tree

new tree

平层Diff,只有以下4种情况:
1、节点类型变了,例如下图中的P变成了H3。我们将这个过程称之为REPLACE。直接将旧节点卸载并装载新节点。旧节点包括下面的子节点都将被卸载,如果新节点和旧节点仅仅是类型不同,但下面的所有子节点都一样时,这样做效率不高。但为了避免O(n^3)的时间复杂度,这样是值得的。这也提醒了开发者,应该避免无谓的节点类型的变化,例如运行时将div变成p没有意义。
2、节点类型一样,仅仅属性或属性值变了。我们将这个过程称之为PROPS。此时不会触发节点卸载和装载,而是节点更新。

3、文本变了,文本对也是一个Text Node,也比较简单,直接修改文字内容就行了,我们将这个过程称之为TEXT。
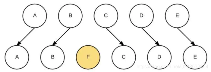
4、移动/增加/删除 子节点,我们将这个过程称之为REORDER。看一个例子,在A、B、C、D、E五个节点的B和C中的BC两个节点中间加入一个F节点。

我们简单粗暴的做法是遍历每一个新虚拟DOM的节点,与旧虚拟DOM对比相应节点对比,在旧DOM中是否存在,不同就卸载原来的按上新的。这样会对F后边每一个节点进行操作。卸载C,装载F,卸载D,装载C,卸载E,装载D,装载E。效率太低。

如果我们在JSX里为数组或枚举型元素增加上key后,它能够根据key,直接找到具体位置进行操作,效率比较高。常见的最小编辑距离问题,可以用Levenshtein Distance算法来实现,时间复杂度是O(M*N),但通常我们只要一些简单的移动就能满足需要,降低精确性,将时间复杂度降低到O(max(M,N))即可。
映射成真实DOM
虚拟DOM有了,Diff也有了,现在就可以将Diff应用到真实DOM上了。深度遍历DOM将Diff的内容更新进去。
根据diff更新


我们会有两个虚拟DOM(js对象,new/old进行比较diff),用户交互我们操作数据变化new虚拟DOM,old虚拟DOM会映射成实际DOM(js对象生成的DOM文档)通过DOM fragment操作给浏览器渲染。当修改new虚拟DOM,会把newDOM和oldDOM通过diff算法比较,得出diff结果数据表(用4种变换情况表示)。再把diff结果表通过DOM fragment更新到浏览器DOM中。
虚拟DOM的存在的意义?vdom 的真正意义是为了实现跨平台,服务端渲染,以及提供一个性能还算不错 Dom 更新策略。vdom 让整个 mvvm 框架灵活了起来
Diff算法只是为了虚拟DOM比较替换效率更高,通过Diff算法得到diff算法结果数据表(需要进行哪些操作记录表)。原本要操作的DOM在vue这边还是要操作的,只不过用到了js的DOM fragment来操作dom(统一计算出所有变化后统一更新一次DOM)进行浏览器DOM一次性更新。其实DOM fragment我们不用平时发开也能用,但是这样程序员写业务代码就用把DOM操作放到fragment里,这就是框架的价值,程序员才能专注于写业务代码。
标签:
相关文章
-
无相关信息
